武芯烧录器支持NXP ARM微控制器LPC1115系列芯片编程烧录
发布时间:2026-03-23 15:58:54
LPC115系列是NXP(恩智浦)推出的一款基于 ARM Cortex-M0 内核的低成本 32 位微控制器,CPU 最高运行频率可达 50 MHz。该系列专为现有 8 位或 16 位微控制器应用的升级而设计,在保持低功耗优势的同时,凭借其简洁高效的指令集和统一的存储器地址空间。
在存储与系统资源方面,LPC115 提供包括高达32 KB 的片上内存和8 KB 的数据存储器(SRAM),用于运行时变量存储和程序堆栈。在外设配置方面,LPC115 集成了丰富的接口以支持多样化的连接与控制需求,包括:一个Fast-mode Plus I²C 总线接口、一个 RS-485 / EIA-485 通用异步收发器(UART)、两个支持 SSP 功能的 SPI 接口、四个通用定时器、一个 10 位模数转换器(ADC)和多达 42 个通用 I/O 引脚,为硬件提供充足的扩展能力,满足复杂系统的外设连接需求。
主要特性:
Arm Cortex-M0内核,工作频率最高为50MHz
存储器:32KB片上闪存、8KB SRAM
数字外设:多达42个通用I/O引脚 、一个引脚的最大电流输出驱动能力为 20mA 、4个通用定时器/计数器、可编程的看门狗定时器 (WDT)
模拟外设:10位 ADC
串行接口:带小数波特率生成器的UART、2个支持SSP功能的SPI控制器、I2C总线接口
时钟生成:12MHz内部RC (IRC) 振荡器、可编程的看门狗振荡器、带分频器的时钟输出功能
低功耗:睡眠模式、深度睡眠模式和深度掉电模式
上电复位(POR)
掉电检测(BOD)
唯一的设备序列号§
单电源供电(1.8V~3.6V) §
提供LQFP48、PLCC44和HVQFN33几种封装形式

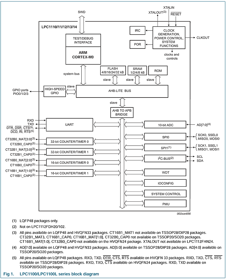
内部框图
武芯科技作为通用型芯片烧录器制造商,专注于IC烧录、测试领域。在持续优化更新烧录软件的同时,也在积极扩充和兼容各大厂商的芯片型号的烧录。ET9800烧录器支持一拖八烧录,同时提供联机、脱机等工作模式,可全方位满足NXP(恩智浦)LPC1115系列芯片的裸片离线烧录与在板烧录的量产需求。

ET9800是一款支持联机、脱机的量产型高速烧录器。采用高性能ARM+FPGA的硬件架构设计,编程带宽高达1.6Gb/s;内置128GB eMMC母头模块,能高效提升eMMC母片拷贝的量产效率;配备4.3英寸LCD触摸屏,优化脱机操作的交互体验;支持“一拖八”并行烧录,可实现复杂多样的烧录需求;且设备集成多种丰富接口,涵盖100/1000M以太网、SD卡、USB2.0 Device、RS-232串口、电源开关及接地端子等,灵活适配多元应用场景。同时提供上位机与下位机软件,支持自动化场景定制,适配智能化产线需求;支持各大厂商各种封装的MCU、eMMC、SPI、Nor/Nand flash、Parallel Nor/Nand flash、EEPROM及DSP等类型芯片编程烧录,为客户提供创新的多场景芯片(IC)烧录解决方案。